0+ yandere one piece x reader

Please please request things. Katakuri x Reader OS 7.


Obey Me Anime Otome Sim Game Apps On Google Play

Yandere colossalcon_yanderegod Deuce.

. 2 of Black Heart 4. YandereAU One Piece Various x Female Reader One person born in this world can indeed change the course of many other peoples destiny. Warnings and cautions going ahead.

Kaido x Reader Part 2 6. Descubra vídeos curtos sobre yandere one piece x reader no TikTok. It had been around eight at night as you and your friends were.

I normally write more often and publish things daily but Im running extremely low almost empty on motivation to write anything anymore. Cursed with Life. However one person born in this.

A-ace Through the oxygen mask that rested on Luffys face occasional murmurs of his brothers name would escape his lips. One Piece x OC idea now Chp. Kaido x Reader Part 1 5.

And feel free to reblog. See a recent post on Tumblr from asce-of-hearts about yandere one piece x reader. YandereAU One Piece Various x Female Reader One person born in this world can indeed change the course of many other peoples destiny.

The first time you had seen him was at the county fair. Yandere Ace Headcanons Chapter Text - Ace. Love or Obsessed - YandereRoronoa Zoro x Reader.

Hes already all yours now hes just. Hi hi I just wanted to try and write some One Piece Yandere characters so requests are welcome. Yandereonepiece 3 more 10.

These are all the one piece x reader pieces I have written that are yandere. Yandere One Piece x Yandere Kny x Female Reader. One Piece Yandere Oneshots x reader 7 parts Ongoing.

Yandere Sanji would be a delusional yandere. Discover more posts about yandere one piece x reader. Assista a conteúdos populares dos seguintes criadores.

Temptation - Yandere Law x Reader by Married To Op Girls. YandereAU One Piece Various x Female Reader One person. Youre his goddess and youre just so beautiful the two of you were meant to be.


Hidden And Mirage Collective Modes In Two Dimensional Fermi Liquids Npj Quantum Materials


Circles Do Mo O Re With Data


Mcq Questions For Class 10 Maths Quadratic Equations With Answers Ncert Books


Amazon Com Adora Softies Blossom 11 5 Plush Doll Girl Cuddly Washable Soft Snuggle Play Toy Gift For Children 0 Toys Games


Hamon User Explore Tumblr Posts And Blogs Tumpik


Transient Can Open Circuits Have 0 Potential Difference Electrical Engineering Stack Exchange


Derivative Of Sqrt X Sqrt X Sqrt X Infinite Nested Square Root Youtube


Yandere One Piece


Hamon User Explore Tumblr Posts And Blogs Tumpik


Environmental Microplastics Disrupt Swimming Activity In Acute Exposure In Danio Rerio Larvae And Reduce Growth And Reproduction Success In Chronic Exposure In D Rerio And Oryzias Melastigma Sciencedirect


Gibson J 200 Artist 1973 75年製 ネックリセット済みの極上個体の入荷です Last Guitarのブログ


Yandere One Piece X Reader On Tumblr


For Each T In R Let T Be The Greatest Integer Less Than Or Equal To T Then Lim Xrarr0 X 1 X 2 X 15 X 1 Is Equal To 0 2 Is Equal To 15 3 Is Equal


Hoan Yandere One Piece Oneshots Reader Yandere Zoro Va Sanji P2 Wattpad


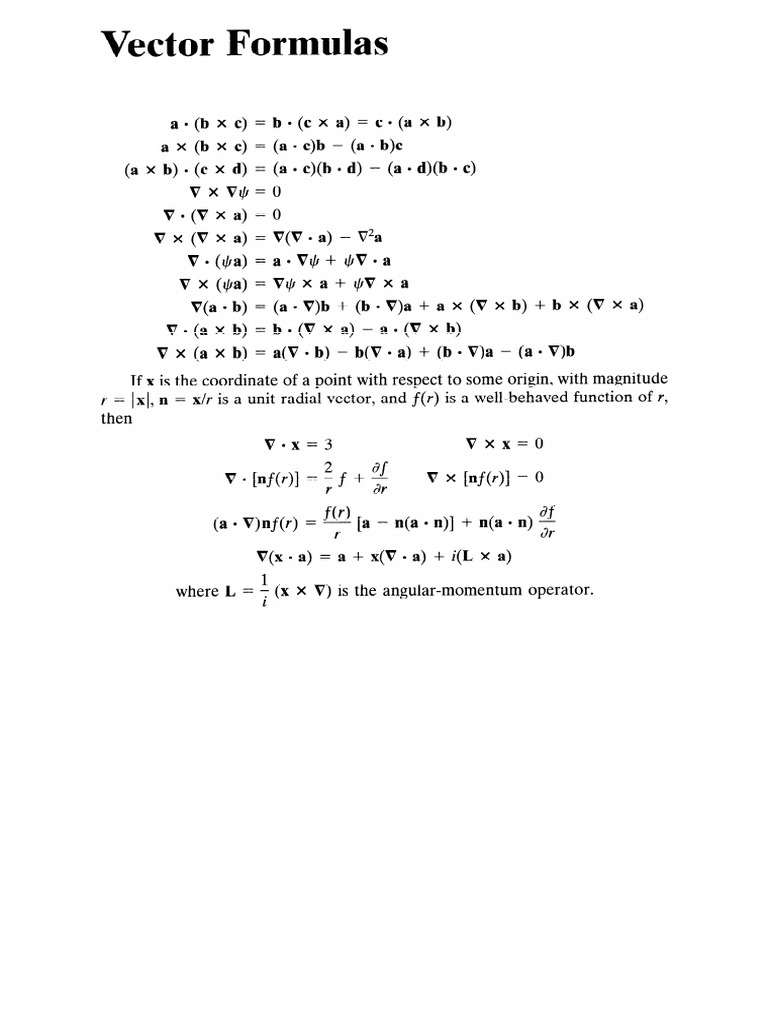
J D Jackson Classical Electrodynamics Pdf Teaching Mathematics Science


Why Is Sourdough Bread The Healthiest Bread


Yandere One Piece Various X Innocent Reader

Iklan Atas Artikel

Iklan Tengah Artikel 1

Iklan Tengah Artikel 2

Iklan Bawah Artikel